Free Access

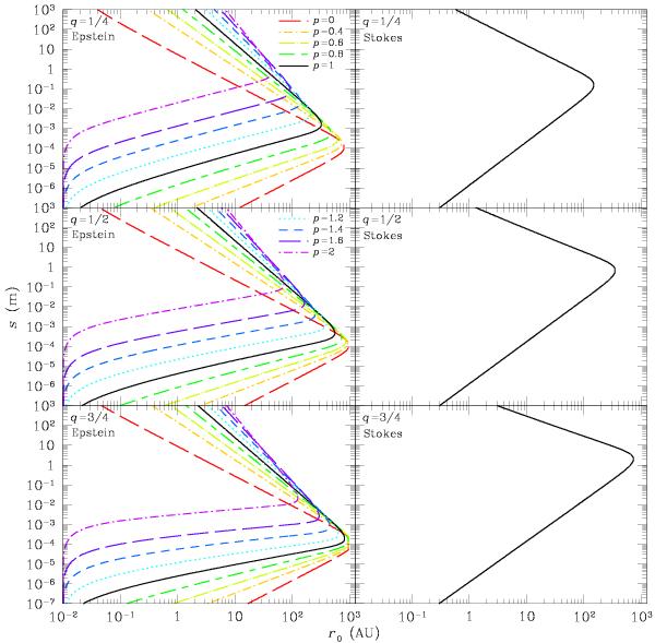
Fig. 7

thumbnail

Survival limits of grains for different values of p and q. Left: Epstein regime, right: Stokes regime. Grains to the left of the curves (tin < tdisc) are accreted onto the star whereas those to the right (tin > tdisc) survive in the disc.

Current usage metrics show cumulative count of Article Views (full-text article views including HTML views, PDF and ePub downloads, according to the available data) and Abstracts Views on Vision4Press platform.

Data correspond to usage on the plateform after 2015. The current usage metrics is available 48-96 hours after online publication and is updated daily on week days.

Initial download of the metrics may take a while.