Free Access

Fig. 8

thumbnail

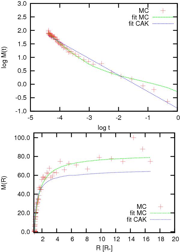
Top panel: the logarithm of the force multiplier M(t) for the hydrodynamic solution of our O3 V model (red plusses) as a function of the optical depth like parameter t; our fit function Eq. (6) to this data (green line) and the CAK fit function Eq. (19) to this data (blue line). Bottom panel: the force multiplier as a function of radius r for the same star. Note that the CAK force multiplier is smaller than ours for large radii, resulting in a lower predicted ν.

This figure is made of several images, please see below:

Current usage metrics show cumulative count of Article Views (full-text article views including HTML views, PDF and ePub downloads, according to the available data) and Abstracts Views on Vision4Press platform.

Data correspond to usage on the plateform after 2015. The current usage metrics is available 48-96 hours after online publication and is updated daily on week days.

Initial download of the metrics may take a while.