Free Access

Fig. 3

thumbnail

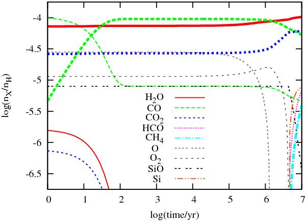
Example of the time evolution of gas/ice abundances (thin/thick lines) using an appropriate for a protoplanetary disk. See text in Sect. 6.2 for a discussion of these results. The disk parameters correspond to point P1 in Fig. 1 (n ⟨ H ⟩  = 1010  cm-3 and T = 20 K).

Current usage metrics show cumulative count of Article Views (full-text article views including HTML views, PDF and ePub downloads, according to the available data) and Abstracts Views on Vision4Press platform.

Data correspond to usage on the plateform after 2015. The current usage metrics is available 48-96 hours after online publication and is updated daily on week days.

Initial download of the metrics may take a while.