Free Access

Fig. 2

thumbnail

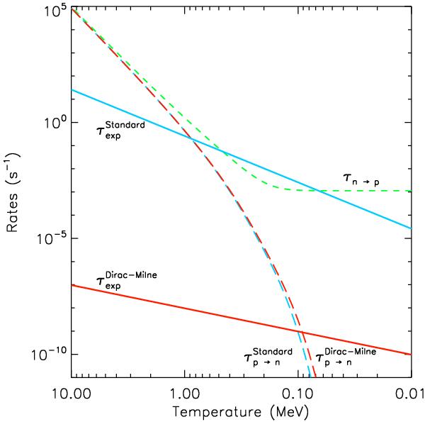
Comparison between expansion rates and weak reaction rates. The short-dashed green line represents the neutron-to-proton conversion rate. The two solid lines represent the expansion rate of the Dirac-Milne universe (red) and the standard cosmology (blue). The long dashed lines represent the proton-to-neutron conversion rates. Weak interactions decouple when these rates become lower than the expansion rate.

Current usage metrics show cumulative count of Article Views (full-text article views including HTML views, PDF and ePub downloads, according to the available data) and Abstracts Views on Vision4Press platform.

Data correspond to usage on the plateform after 2015. The current usage metrics is available 48-96 hours after online publication and is updated daily on week days.

Initial download of the metrics may take a while.