Free Access

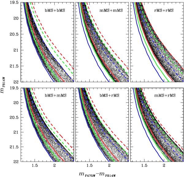
Fig. 8

thumbnail

Upper panels: simulated CMDs for MS-MS binaries formed by pairs of bMS (left), mMS (middle), and rMS stars (right). Bottom panels: binaries composed by bMS and mMS (left), bMS and rMS (middle), and mMS and rMS stars (right). Continuous lines are the empirical MSRLs for the three MSs while sequences of equal mass bMS, mMS, and rMS binaries are marked with dashed lines.

Current usage metrics show cumulative count of Article Views (full-text article views including HTML views, PDF and ePub downloads, according to the available data) and Abstracts Views on Vision4Press platform.

Data correspond to usage on the plateform after 2015. The current usage metrics is available 48-96 hours after online publication and is updated daily on week days.

Initial download of the metrics may take a while.