Free Access

Fig. 9

thumbnail

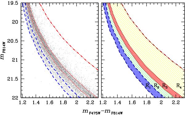
Left panel: mF814W vs. mF475W − mF814W CMD for MS stars. Blue dashed lines and red dotted lines are the MSRLs of the bMS and the rMS blue and red-shifted by  ±three times σbMS and σrMS. The red dashed-dotted line is displaced to the red from the fiducial of equal-mass rMS-rMS binaries by  + 3 times σrMS. These lines are the boundaries of the shaded areas in the right panel that define the four regions used to calculate the LFs of the three MSs and the binary fraction (see text for details).

Current usage metrics show cumulative count of Article Views (full-text article views including HTML views, PDF and ePub downloads, according to the available data) and Abstracts Views on Vision4Press platform.

Data correspond to usage on the plateform after 2015. The current usage metrics is available 48-96 hours after online publication and is updated daily on week days.

Initial download of the metrics may take a while.