Free Access

Fig. 10

thumbnail

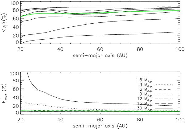
Top: survey mean detection-probability derived as a function of the semi-major axis assuming the parametric mass and period distributions derived by Cumming et al. (2008). The results are reported for individual masses: 1.5, 3, 6, 9, 12, 15, 30 MJup. The integrated probability for the planetary mass regime is shown with the thick green line. Bottom: planet fraction upper limit derived as a function of semi-major axis given the same mass and period distributions.

Current usage metrics show cumulative count of Article Views (full-text article views including HTML views, PDF and ePub downloads, according to the available data) and Abstracts Views on Vision4Press platform.

Data correspond to usage on the plateform after 2015. The current usage metrics is available 48-96 hours after online publication and is updated daily on week days.

Initial download of the metrics may take a while.