Free Access

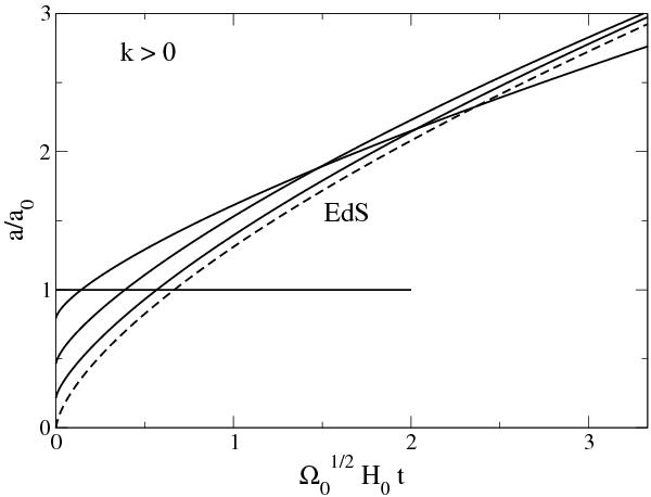
Fig. 9

thumbnail

Scale factor a(t) as a function of time t for a BEC universe with k ≥ 0. The units of space and time are normalized by present-day quantities that do not depend on k. The different curves correspond to q = 0 (EdS, dashed), q = 0.01, q = 0.1 and q = 0.5. The straight line corresponds to a/a0 = 1. Its intersection with the curve a(t) defines the age of the universe.

Current usage metrics show cumulative count of Article Views (full-text article views including HTML views, PDF and ePub downloads, according to the available data) and Abstracts Views on Vision4Press platform.

Data correspond to usage on the plateform after 2015. The current usage metrics is available 48-96 hours after online publication and is updated daily on week days.

Initial download of the metrics may take a while.