Free Access

Fig. 1

thumbnail

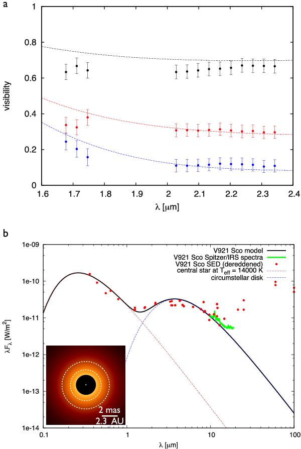
AMBER visibilities, SED, and best-fit temperature-gradient model of V921 Sco. a) wavelength-dependent calibrated visibilities (baselines 31 m, 63 m, 95 m from top to bottom) and temperature-gradient model fits (dashed lines, see Sect. 3.2). b) available ground-based SED data (red points; Borges Fernandes et al. 2007), Spitzer spectrum (green line), and the model fit (black line). The inset shows the K-band intensity distribution of the best-fit temperature-gradient model (log scaling). The white dashed lines indicate the dust sublimation radii predicted by the size-luminosity relation for the temperatures of 1500 K (outer ring) and 2000 K (inner ring) using the stellar parameters reported by Borges Fernandes et al. (2007).

Current usage metrics show cumulative count of Article Views (full-text article views including HTML views, PDF and ePub downloads, according to the available data) and Abstracts Views on Vision4Press platform.

Data correspond to usage on the plateform after 2015. The current usage metrics is available 48-96 hours after online publication and is updated daily on week days.

Initial download of the metrics may take a while.