Free Access

Fig. 3

thumbnail

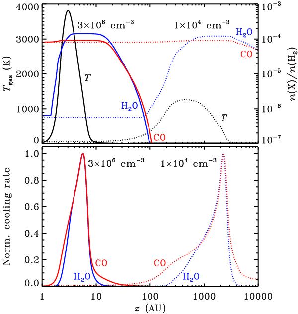
Top: temperature of the neutral gas (black) and abundances of CO (red) and H2O (blue) as function of depth into a shock for a shock velocity of 20 km s-1 and pre-shock densities of 3 × 106 (solid) and 1 × 104 cm-3 (dotted). Bottom: normalised cooling rates of CO and H2O for the same two sets of conditions. All data are taken from the models of Flower & Pineau des Forêts (2003).

Current usage metrics show cumulative count of Article Views (full-text article views including HTML views, PDF and ePub downloads, according to the available data) and Abstracts Views on Vision4Press platform.

Data correspond to usage on the plateform after 2015. The current usage metrics is available 48-96 hours after online publication and is updated daily on week days.

Initial download of the metrics may take a while.