Free Access

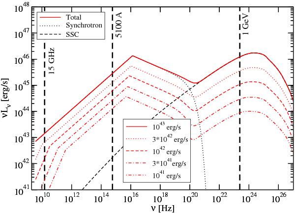
Fig. 6

thumbnail

Sequence of model SEDs for BL Lac objects, varying the jet power, while adjusting the magnetic field to equipartition with the relativistic electrons in the jet. The curves are labelled by the value of Lj. The black dotted and dashed lines indicate the individual radiation components adding up to the the total spectrum with the highest Lj = 1043 erg s-1. This sequence yields the points shown as blue open squares in Figs. 810.

Current usage metrics show cumulative count of Article Views (full-text article views including HTML views, PDF and ePub downloads, according to the available data) and Abstracts Views on Vision4Press platform.

Data correspond to usage on the plateform after 2015. The current usage metrics is available 48-96 hours after online publication and is updated daily on week days.

Initial download of the metrics may take a while.