Free Access

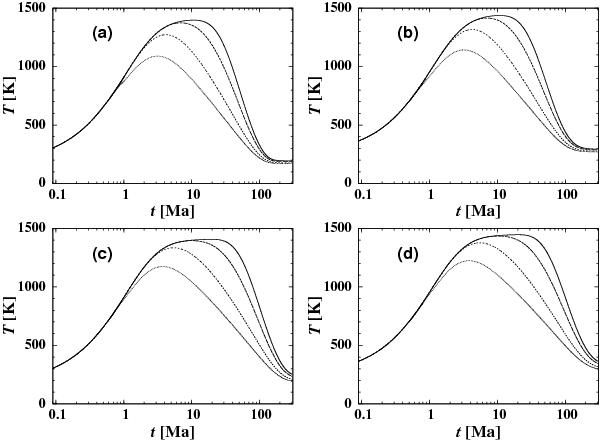
Fig. 10

thumbnail

Temperature evolution of test models for porous bodies with modified values of parameters. Left panel with boundary temperature Tb = 150 K, right panel with Tb = 250 K. Upper panel with heat-conduction coefficient Kb = 4 W m-1 K-1, lower panel with Kb = 2 W m-1 K-1.

This figure is made of several images, please see below:

Current usage metrics show cumulative count of Article Views (full-text article views including HTML views, PDF and ePub downloads, according to the available data) and Abstracts Views on Vision4Press platform.

Data correspond to usage on the plateform after 2015. The current usage metrics is available 48-96 hours after online publication and is updated daily on week days.

Initial download of the metrics may take a while.