Free Access

Fig. 11

thumbnail

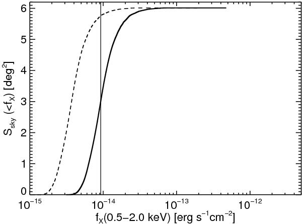
The survey sky coverage. Dashed line shows the sky coverage as a function of limiting point source sensitivity in the 0.5−2.0 keV band. The empirically estimated extended source sensitivity is shown with a solid line. The median point source sensitivity of the survey is 3.7 × 10-15 erg s-1 cm-2, the median sensitivity for the extended sources 9.3 × 10-15 erg s-1 cm-2 (vertical line).

Current usage metrics show cumulative count of Article Views (full-text article views including HTML views, PDF and ePub downloads, according to the available data) and Abstracts Views on Vision4Press platform.

Data correspond to usage on the plateform after 2015. The current usage metrics is available 48-96 hours after online publication and is updated daily on week days.

Initial download of the metrics may take a while.