Highlight
Free Access

Fig. 8

thumbnail

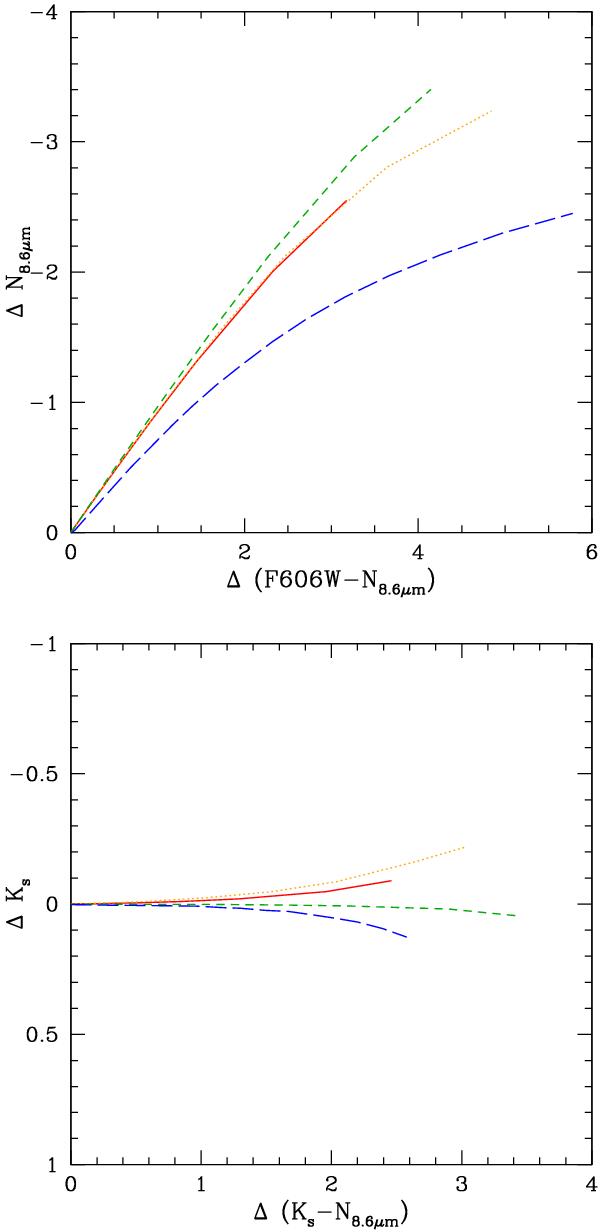
Expected changes in colours and magnitudes of RGB stars caused by O-rich circumstellar dust shells for an optical depth at λ = 1   μm varying between 0 and 1, in the CMDs N8.6   μm vs. (mF606W − N8.6   μm) (upper panel) and Ks vs. (Ks − N8.6   μm) (lower panel). The different curves are for different dust compositions, namely the 100% AlOx (solid), 60% silicate + 40% AlOx (dotted), and 100% silicate (short-dashed) mixtures from Groenewegen (2006), and the silicates (long-dashed) from Bressan et al. (1998).

This figure is made of several images, please see below:

Current usage metrics show cumulative count of Article Views (full-text article views including HTML views, PDF and ePub downloads, according to the available data) and Abstracts Views on Vision4Press platform.

Data correspond to usage on the plateform after 2015. The current usage metrics is available 48-96 hours after online publication and is updated daily on week days.

Initial download of the metrics may take a while.