Free Access

Fig. A.2

thumbnail

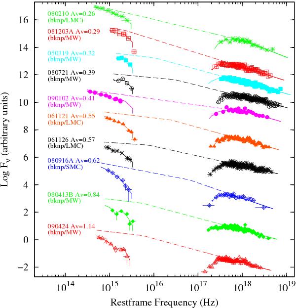
NIR through to X-ray SEDs of the 32 GRBs analysed that did not enter our final sample. Frequency is plotted in the rest-frame and flux density is in arbitrary units for clarity. The SEDs have been corrected for Galactic reddening and soft X-ray absorption, and both the host galaxy absorbed/extinguished (solid) and intrinsic (dashed) best-fit afterglow SED are indicated. The afterglow SEDs are ordered by afterglow host galaxy extinction, with the most extinguished at the bottom, and the least at the top.

Current usage metrics show cumulative count of Article Views (full-text article views including HTML views, PDF and ePub downloads, according to the available data) and Abstracts Views on Vision4Press platform.

Data correspond to usage on the plateform after 2015. The current usage metrics is available 48-96 hours after online publication and is updated daily on week days.

Initial download of the metrics may take a while.