Free Access

Fig. 7

thumbnail

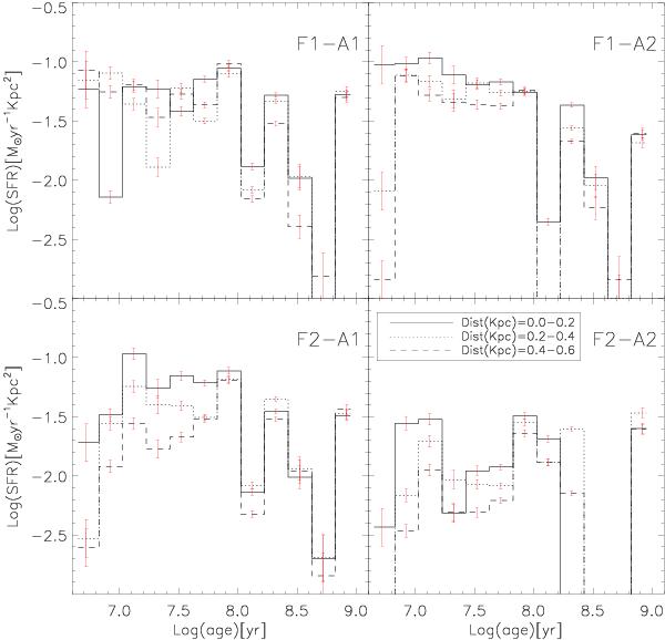
Star formation histories for each arm over each field. F#-A# refers to the field and the arm estimation. Errors are the random errors (see Silva-Villa & Larsen 2010).

Current usage metrics show cumulative count of Article Views (full-text article views including HTML views, PDF and ePub downloads, according to the available data) and Abstracts Views on Vision4Press platform.

Data correspond to usage on the plateform after 2015. The current usage metrics is available 48-96 hours after online publication and is updated daily on week days.

Initial download of the metrics may take a while.