Free Access

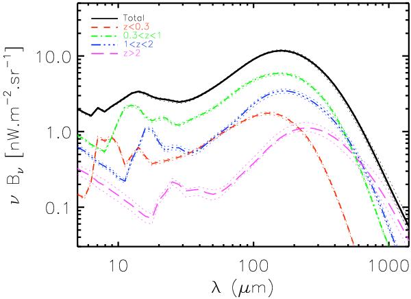
Fig. 1

thumbnail

CIB per redshift bins from the model of Béthermin et al. (2011). The high redshift contribution increases with the wavelength.

Current usage metrics show cumulative count of Article Views (full-text article views including HTML views, PDF and ePub downloads, according to the available data) and Abstracts Views on Vision4Press platform.

Data correspond to usage on the plateform after 2015. The current usage metrics is available 48-96 hours after online publication and is updated daily on week days.

Initial download of the metrics may take a while.