Free Access

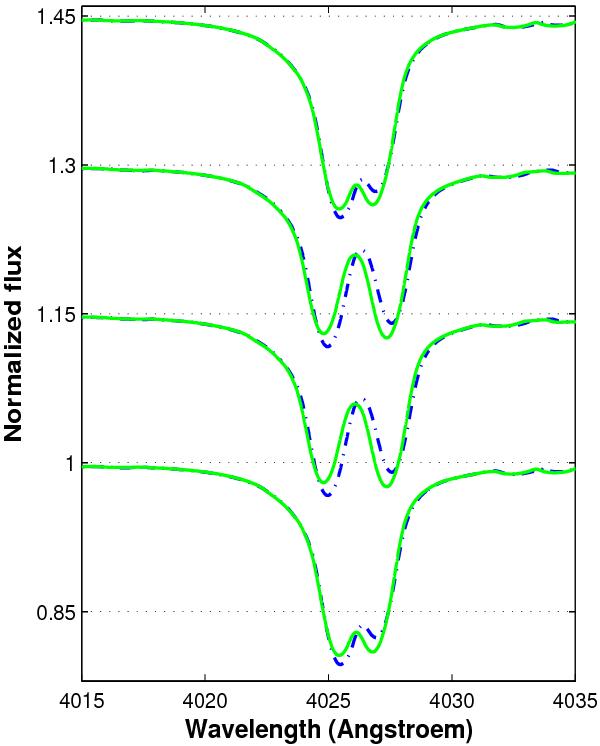
Fig. 4

thumbnail

Variations in the He I λ 4026 line in model 2. From bottom to top, in dotted blue: phases from 0.1 to 0.4 in steps of 0.1. From top to bottom, in green: phases from 0.6 to 0.9 in steps of 0.1.

Current usage metrics show cumulative count of Article Views (full-text article views including HTML views, PDF and ePub downloads, according to the available data) and Abstracts Views on Vision4Press platform.

Data correspond to usage on the plateform after 2015. The current usage metrics is available 48-96 hours after online publication and is updated daily on week days.

Initial download of the metrics may take a while.