Free Access

Fig. 1

thumbnail

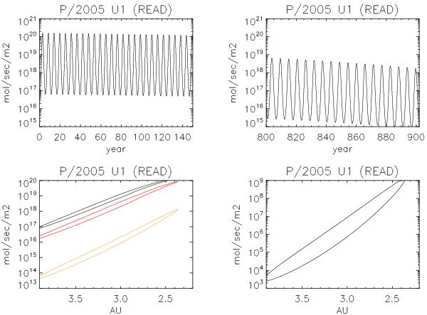
Case 1 – Water flux along the orbit for a P/Read-like body on which an impact has exposed ice-rich layers. Upper left panel: impact at the equator, water flux with respect to time, for the first 140 years after the impact; upper right panel: impact at the equator, water flux with respect to time for a period of one hundred years immediately before the disintegration of the available icy material; bottom left panel: impact at the equator (upper curve) and at 30° (lower curve), water flux with respect to heliocentric distance. The fluxes are shown 10 years after the impact; bottom right panel: impact at 85°, water flux with respect to heliocentric distance. The flux is shown 10 years after the impact.

Current usage metrics show cumulative count of Article Views (full-text article views including HTML views, PDF and ePub downloads, according to the available data) and Abstracts Views on Vision4Press platform.

Data correspond to usage on the plateform after 2015. The current usage metrics is available 48-96 hours after online publication and is updated daily on week days.

Initial download of the metrics may take a while.