Free Access

Fig. 9

thumbnail

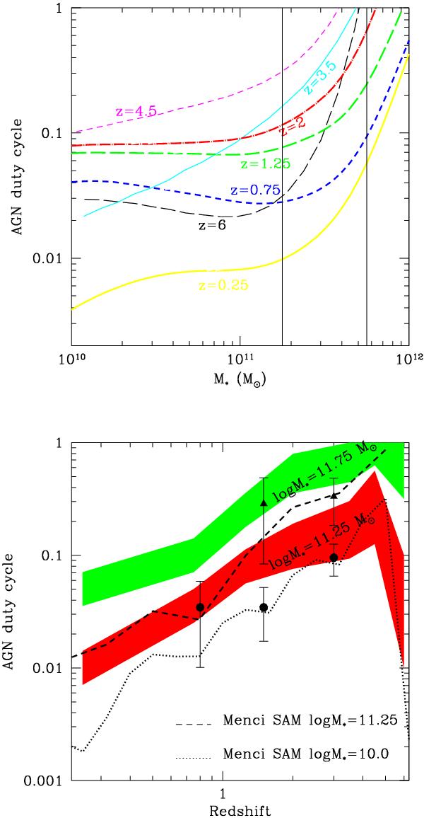
Top panel: the AGN duty cycle as a function of the galaxy stellar mass in six redshift bins. AGN with log L(2–10 keV)  >  43 are considered only. Bottom panel: the AGN duty cycle as a function of redshift for two galaxy stellar masses (log M = 11.25, 11.75 M). Filled circles and triangles are the previous determination of Brusa et al. (2009b) for the same masses. The black dashed (dotted) curve is the prediction of the Menci et al. (2006, 2008) SAM for log M = 11.25   M (log M = 10 M).

This figure is made of several images, please see below:

Current usage metrics show cumulative count of Article Views (full-text article views including HTML views, PDF and ePub downloads, according to the available data) and Abstracts Views on Vision4Press platform.

Data correspond to usage on the plateform after 2015. The current usage metrics is available 48-96 hours after online publication and is updated daily on week days.

Initial download of the metrics may take a while.