Free Access

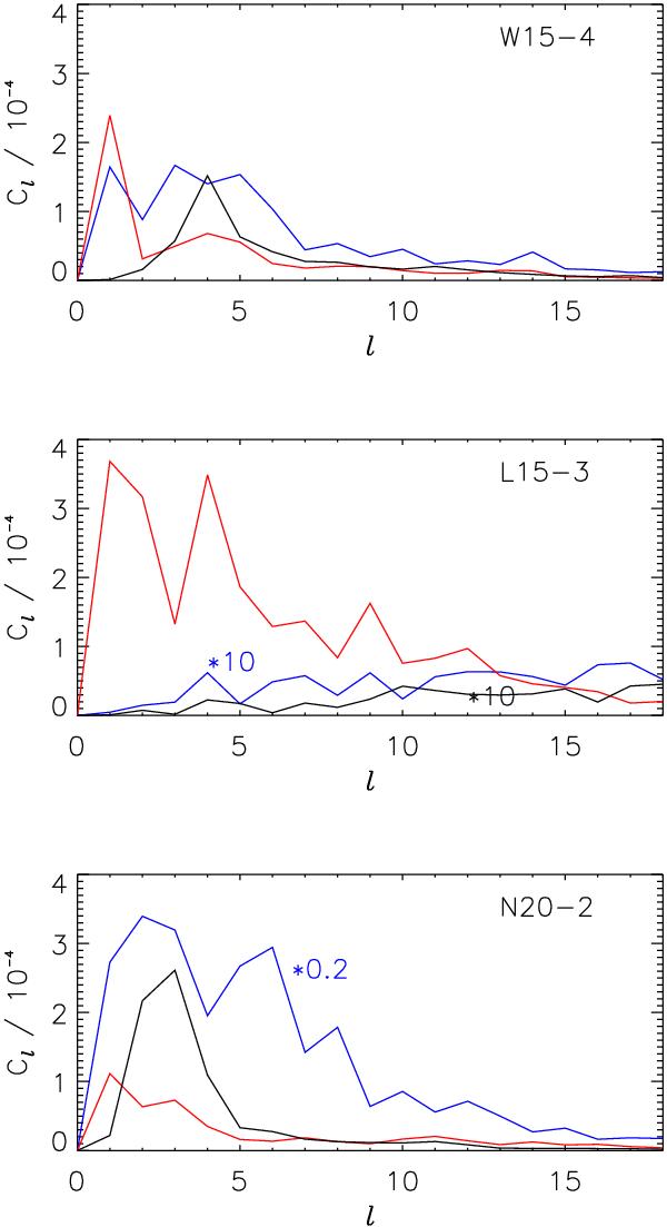
Fig. 7

thumbnail

Pseudo-power coefficients of the electron-neutrino flux density as functions of angular mode number l at 200 ms (blue), 400 ms (red), and 1000 ms (black) for models W15-4 (top), L15-3 (middle), and N20-3 (bottom), respectively.

Current usage metrics show cumulative count of Article Views (full-text article views including HTML views, PDF and ePub downloads, according to the available data) and Abstracts Views on Vision4Press platform.

Data correspond to usage on the plateform after 2015. The current usage metrics is available 48-96 hours after online publication and is updated daily on week days.

Initial download of the metrics may take a while.