Free Access

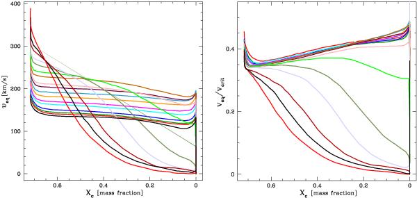
Fig. 10

thumbnail

Evolution of rotation on the main sequence as a function of the central mass fraction of hydrogen for all the stellar models from 1.7 to 120 M. Left: evolution of the equatorial velocity. The curve for the 1.7 M is the bottom line at the beginning of the evolution (Xc = 0.72), and that for the 120 M the upper line (increasing equatorial velocity for increasing mass). Right: evolution of the υeq/υcrit ratio. The curve for the 1.7 M is the upper line during the MS, and that for the 120 M the bottom line during the MS (decreasing velocity ratio for increasing mass).

This figure is made of several images, please see below:

Current usage metrics show cumulative count of Article Views (full-text article views including HTML views, PDF and ePub downloads, according to the available data) and Abstracts Views on Vision4Press platform.

Data correspond to usage on the plateform after 2015. The current usage metrics is available 48-96 hours after online publication and is updated daily on week days.

Initial download of the metrics may take a while.