Free Access

Fig. 11

thumbnail

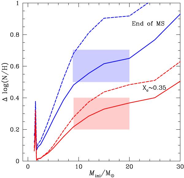
The solid curves show the variation as a function of the initial mass of the N/H ratio at the surface at, respectively, the end (upper solid blue line labelled by “End of MS”) and at the middle of the MS phase (lower solid red line labelled by “Xc ~ 0.35”). The lower hatched zone corresponds to mean values of the N/H excess observed at the surface of Galactic MS B-type stars with initial masses inferior to 20 M (Gies & Lambert 1992; Kilian 1992; Morel et al. 2008; Hunter et al. 2009). The upper one corresponds to the observed range for maximum values. The dashed curves show the variation in the N/C ratio normalised to the value on the ZAMS.

Current usage metrics show cumulative count of Article Views (full-text article views including HTML views, PDF and ePub downloads, according to the available data) and Abstracts Views on Vision4Press platform.

Data correspond to usage on the plateform after 2015. The current usage metrics is available 48-96 hours after online publication and is updated daily on week days.

Initial download of the metrics may take a while.