Free Access

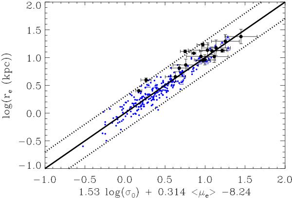
Fig. 7

thumbnail

Distribution of our BGGs (large black points) in the edge-on view of the FP defined by the P98 early-type galaxies (small blue points). The BCGs of the P98 sample are marked by blue open triangles. The solid line represents the FP best fit to P98 galaxies. The dotted lines represent the 3σ deviation from the fit.

Current usage metrics show cumulative count of Article Views (full-text article views including HTML views, PDF and ePub downloads, according to the available data) and Abstracts Views on Vision4Press platform.

Data correspond to usage on the plateform after 2015. The current usage metrics is available 48-96 hours after online publication and is updated daily on week days.

Initial download of the metrics may take a while.