Free Access

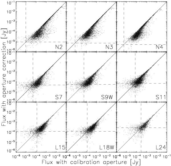
Fig. 4

thumbnail

Fluxes with aperture correction adopted here versus those using the IRC calibration apertures, i.e. 10 pixels for NIR and 7.5 pixels for MIR-S and MIR-L. Dashed lines indicate 5σ sensitivity in Wada et al. (2008). Solid lines correspond to the linear relation.

Current usage metrics show cumulative count of Article Views (full-text article views including HTML views, PDF and ePub downloads, according to the available data) and Abstracts Views on Vision4Press platform.

Data correspond to usage on the plateform after 2015. The current usage metrics is available 48-96 hours after online publication and is updated daily on week days.

Initial download of the metrics may take a while.