Highlight
Free Access

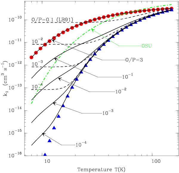
Fig. 2

thumbnail

Comparison of the rate coefficient for reaction (1) as given by Eq. (3) to the rates from LB91 (dashed) and the OSU database (dot-dashed). The rates are computed for temperatures in the range 8 − 150 K and O/P = 10-4, 10-3, 0.01, 0.1, and 3 (black lines). The symbols show the fits from Marquette et al. (1988) for normal H2 (red circles, O/P = 3) and p-H2 (blue triangles).

Current usage metrics show cumulative count of Article Views (full-text article views including HTML views, PDF and ePub downloads, according to the available data) and Abstracts Views on Vision4Press platform.

Data correspond to usage on the plateform after 2015. The current usage metrics is available 48-96 hours after online publication and is updated daily on week days.

Initial download of the metrics may take a while.