Highlight
Free Access

Fig. 4

thumbnail

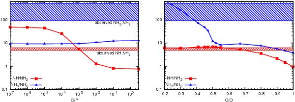
Abundance ratios calculated when a 10% branching ratio is considered for the reaction N2H +  + e −  → NH + H. The hashed bands show the observed ratios with their 1σ uncertainties. Left panel: varying O/P, with the initial abundances of Flower & Pineau des Forêts (2003) ([O] = 1.24( − 4) and [C] = 8.27( − 5)). Right panel: varying [O] while keeping [C] constant, at constant O/P = 10-3. The low-metal abundances of Wakelam & Herbst (2008) are [O] = 1.76( − 4) and [C] = 7.30( − 5), or C:O = 0.41.

This figure is made of several images, please see below:

Current usage metrics show cumulative count of Article Views (full-text article views including HTML views, PDF and ePub downloads, according to the available data) and Abstracts Views on Vision4Press platform.

Data correspond to usage on the plateform after 2015. The current usage metrics is available 48-96 hours after online publication and is updated daily on week days.

Initial download of the metrics may take a while.