Free Access

Fig. 14

thumbnail

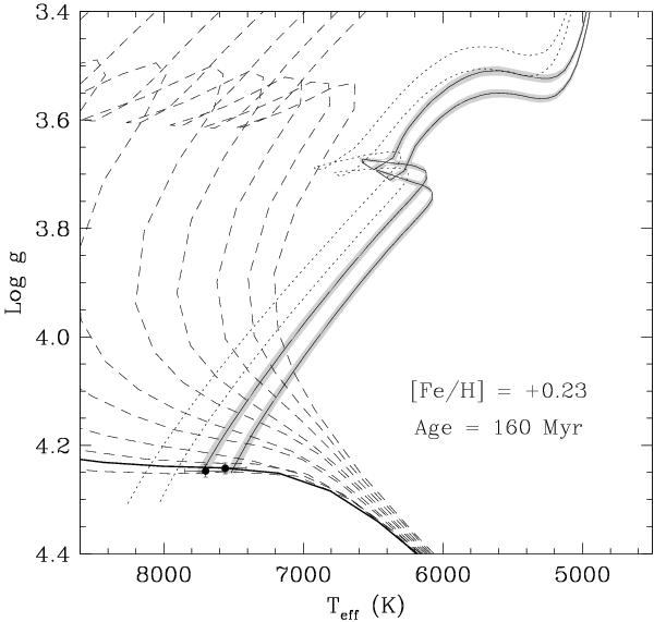
Similar to Fig. 12, but for HW CMa. The best-fitting metallicity is [Fe/H]  =  + 0.23. Solar metallicity tracks are shown for reference (dotted lines). The dashed lines represent Yonsei-Yale isochrones from 100 Myr to 1 Gyr in steps of 100 Myr. The best fitting 160 Myr isochrone is drawn with a thick solid line.

Current usage metrics show cumulative count of Article Views (full-text article views including HTML views, PDF and ePub downloads, according to the available data) and Abstracts Views on Vision4Press platform.

Data correspond to usage on the plateform after 2015. The current usage metrics is available 48-96 hours after online publication and is updated daily on week days.

Initial download of the metrics may take a while.