Free Access

Fig. 1

thumbnail

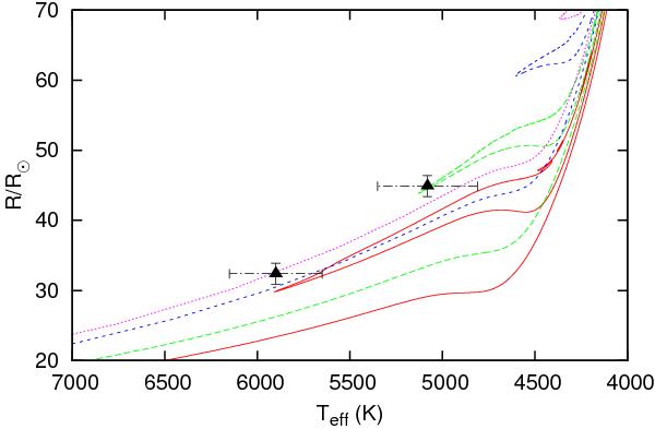
Stellar evolution tracks computed using the Heger et al. (2000) stellar evolution program. The red solid line represents αc = 0.2, green dashed line αc = 0.3, blue small-dashed line αc = 0.4 and the magenta dotted line is αc = 0.45. The black triangles with error bars represent the observed radius and effective temperature of the binary components.

Current usage metrics show cumulative count of Article Views (full-text article views including HTML views, PDF and ePub downloads, according to the available data) and Abstracts Views on Vision4Press platform.

Data correspond to usage on the plateform after 2015. The current usage metrics is available 48-96 hours after online publication and is updated daily on week days.

Initial download of the metrics may take a while.