Free Access

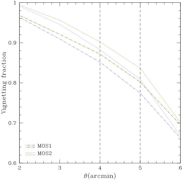
Fig. 3

thumbnail

Vignetting expected at different off-axis angle for the two MOS detectors. The red, green, and blue lines represents the 0.7–1 keV, the 1–2 keV, and the 2–8 keV bands, respectively. The dashed black lines represents the typical off-axis angle where we would extract the background for our sample. It is clear how the background spectra could be vignetted up to a 20% factor.

Current usage metrics show cumulative count of Article Views (full-text article views including HTML views, PDF and ePub downloads, according to the available data) and Abstracts Views on Vision4Press platform.

Data correspond to usage on the plateform after 2015. The current usage metrics is available 48-96 hours after online publication and is updated daily on week days.

Initial download of the metrics may take a while.