Free Access

Fig. 2

thumbnail

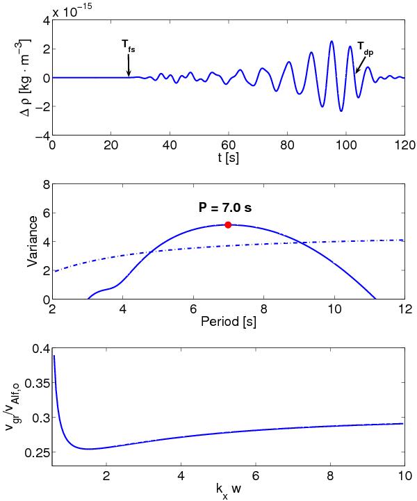
Upper panel: time evolution of the mass density ϱ(LD =  {L/2,H/2} ,t). Middle panel: the global wavelet spectrum of the incoming signal (full line) with dominant wave period P, and the 99% significance level (dash-dotted line). Bottom panel: the group speed of the wave vgr = dω/dk in units of the external Alfvén speed as a function of wave number kxw (bottom panel). All for the density slab.

Current usage metrics show cumulative count of Article Views (full-text article views including HTML views, PDF and ePub downloads, according to the available data) and Abstracts Views on Vision4Press platform.

Data correspond to usage on the plateform after 2015. The current usage metrics is available 48-96 hours after online publication and is updated daily on week days.

Initial download of the metrics may take a while.