Free Access

Fig. 5

thumbnail

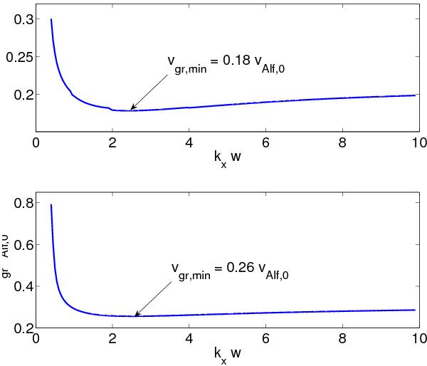
Group speeds of the waves in units of the external Alfvén speed vAlf,0 as the functions of wave number kxw for plasma beta parameter β = 0.05 (upper panel) and β = 0.10 (lower panel). The minimal values of the group speed vgr are shown by arrows, and calculated for the Harris current sheet.

Current usage metrics show cumulative count of Article Views (full-text article views including HTML views, PDF and ePub downloads, according to the available data) and Abstracts Views on Vision4Press platform.

Data correspond to usage on the plateform after 2015. The current usage metrics is available 48-96 hours after online publication and is updated daily on week days.

Initial download of the metrics may take a while.