Free Access

Fig. 6

thumbnail

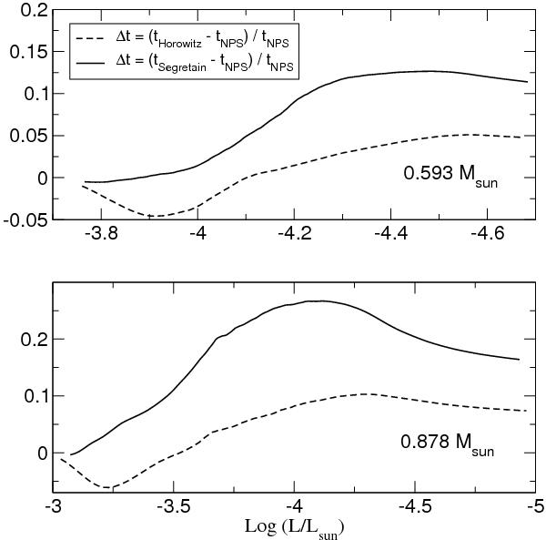
Age delays, in percentage with respect to the case in which phase separation is not considered, due to carbon-oxygen phase separation according to the phase diagram of Horowitz et al. (2010) and Segretain & Chabrier (1993), dashed and solid lines, respectively. Upper and bottom panel correspond to the 0.593 and 0.878   M white dwarf sequences, respectively.

Current usage metrics show cumulative count of Article Views (full-text article views including HTML views, PDF and ePub downloads, according to the available data) and Abstracts Views on Vision4Press platform.

Data correspond to usage on the plateform after 2015. The current usage metrics is available 48-96 hours after online publication and is updated daily on week days.

Initial download of the metrics may take a while.