Free Access

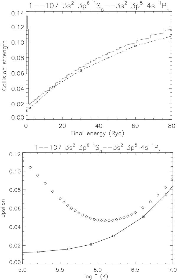
Fig. 1

thumbnail

Top: collision strength for the 3s2 3p61S0–3s2 3p5 4s 1P1 transition of Fe ix. Squares with dashed line from present results. Histogram from Storey et al. (2002). Bottom: thermally averaged collision strength for the 3s2 3p61S0–3s2 3p5 4s 1P1 transition. Solid line with squares from present results. Diamonds from Storey et al. (2002).

This figure is made of several images, please see below:

Current usage metrics show cumulative count of Article Views (full-text article views including HTML views, PDF and ePub downloads, according to the available data) and Abstracts Views on Vision4Press platform.

Data correspond to usage on the plateform after 2015. The current usage metrics is available 48-96 hours after online publication and is updated daily on week days.

Initial download of the metrics may take a while.