Free Access

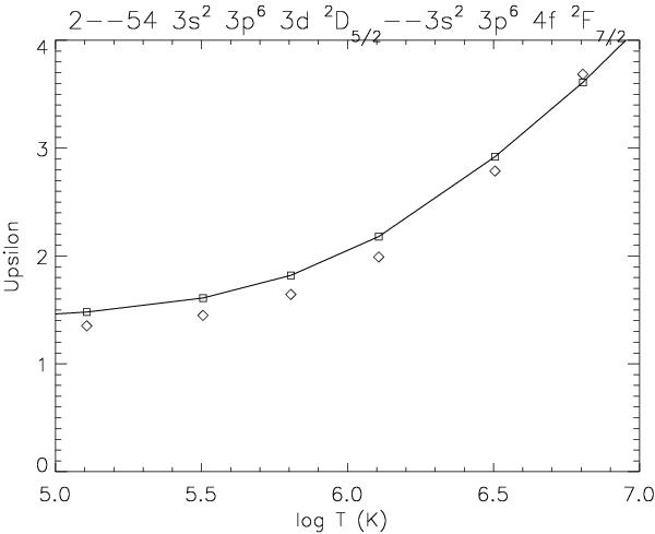
Fig. 3

thumbnail

Thermally averaged collision strength for the 3s2 3p6 3d 2D5/2–3s2 3p6 4f 2F7/2 transition of Fe viii. Solid line from present results. Diamonds from the R-matrix calculation of Griffin et al. (2000), adjusted by Del Zanna (2009).

Current usage metrics show cumulative count of Article Views (full-text article views including HTML views, PDF and ePub downloads, according to the available data) and Abstracts Views on Vision4Press platform.

Data correspond to usage on the plateform after 2015. The current usage metrics is available 48-96 hours after online publication and is updated daily on week days.

Initial download of the metrics may take a while.