Free Access

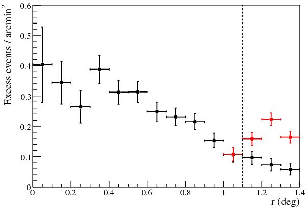
Fig. 2

thumbnail

H.E.S.S. radial profile relative to the best-fit position of the VHE γ-ray emission. The dotted vertical line denotes the 95% containment radius used to obtain the spectrum shown in Figure 4. Note that the region covering the bright source HESS J1640–465 (see Figure 1) has been excluded for the radial profile shown in black by omitting a circle segment with 220° ≤ φ ≤ 260° for radii of 1.0° ≤ r ≤ 1.4°. The red graph displays the radial profile without excluding HESS J1640–465.

Current usage metrics show cumulative count of Article Views (full-text article views including HTML views, PDF and ePub downloads, according to the available data) and Abstracts Views on Vision4Press platform.

Data correspond to usage on the plateform after 2015. The current usage metrics is available 48-96 hours after online publication and is updated daily on week days.

Initial download of the metrics may take a while.