Free Access

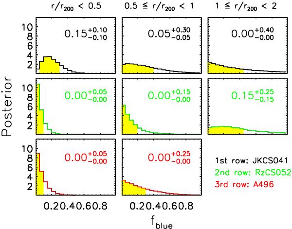
Fig. 7

thumbnail

Posterior probability distribution of the blue fraction for the three clusters (JKCS   041: upper row, RzCS   052: middle row, A496: lower row), in three radial ranges. The 68% shortest confidence intervals are shaded in yellow.

Current usage metrics show cumulative count of Article Views (full-text article views including HTML views, PDF and ePub downloads, according to the available data) and Abstracts Views on Vision4Press platform.

Data correspond to usage on the plateform after 2015. The current usage metrics is available 48-96 hours after online publication and is updated daily on week days.

Initial download of the metrics may take a while.