Free Access

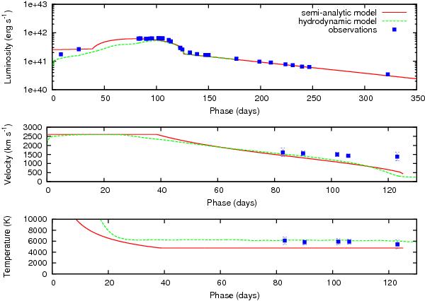
Fig. 9

thumbnail

Comparison of the evolution of the main observables of SN 2009E with the best-fit model computed with the relativistic radiation-hydrodynamics code (total energy 0.6 foe, initial radius 7 × 1012 cm, envelope mass 19 M). The best-fit model computed with the semi-analytic code (total energy 1.3 foe, initial radius 6 × 1012 cm, envelope mass 26   M) is also shown. Top, middle, and bottom panels show respectively the bolometric light curve, the photospheric velocity, and the photospheric temperature as a function of time. As a tracer for the photospheric velocity we measured the positions of the minimum of the P-Cygni profiles of the Sc II lines.

Current usage metrics show cumulative count of Article Views (full-text article views including HTML views, PDF and ePub downloads, according to the available data) and Abstracts Views on Vision4Press platform.

Data correspond to usage on the plateform after 2015. The current usage metrics is available 48-96 hours after online publication and is updated daily on week days.

Initial download of the metrics may take a while.