Free Access

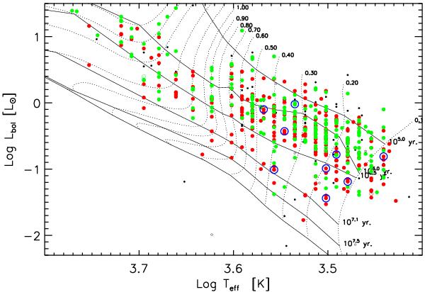
Fig. 8

thumbnail

HR diagram for the optical COUP sample on the Siess et al. (2000) models. Class III (green; light gray in b/w print) and Class II (red; dark gray in b/w print), AA Tau like stars (large blue annuli) and IC 348 members without YSO classification (small black points).

Current usage metrics show cumulative count of Article Views (full-text article views including HTML views, PDF and ePub downloads, according to the available data) and Abstracts Views on Vision4Press platform.

Data correspond to usage on the plateform after 2015. The current usage metrics is available 48-96 hours after online publication and is updated daily on week days.

Initial download of the metrics may take a while.