Free Access

Fig. 11

thumbnail

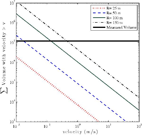
Cumulative volume of ejecta with higher velocity for a set of crater sizes in the gravity-scaled regime. Measured volume of material is indicated by solid black line. A crater approximately 100 m in radius is required to excavate sufficient material above the escape velocity of the body to match observations.

Current usage metrics show cumulative count of Article Views (full-text article views including HTML views, PDF and ePub downloads, according to the available data) and Abstracts Views on Vision4Press platform.

Data correspond to usage on the plateform after 2015. The current usage metrics is available 48-96 hours after online publication and is updated daily on week days.

Initial download of the metrics may take a while.