Free Access

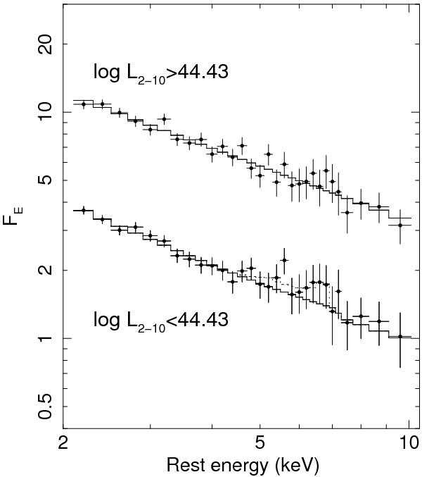
Fig. 8

thumbnail

Stacked spectra of Class I objects (BLAGN) in the luminosity ranges above and below log L2−10 = 44.43 (erg s-1). The best-fit power-law continuum for the spectrum of the high-luminosity objects is indicated by the solid-line histogram. Weak Fe K emission peaking at 6.86 keV is seen. On the other hand, the continuum model indicated with the solid-line histogram for the spectrum of low-luminosity objects is that expected for a power-law with reflection (see text for details). A moderately broadened Fe K feature centerd at 6.5 keV, with a possible redward extension down to 4.5 keV, can be seen. The best-fitting diskline model for this Fe K feature is indicated by the dotted-line histogram.

Current usage metrics show cumulative count of Article Views (full-text article views including HTML views, PDF and ePub downloads, according to the available data) and Abstracts Views on Vision4Press platform.

Data correspond to usage on the plateform after 2015. The current usage metrics is available 48-96 hours after online publication and is updated daily on week days.

Initial download of the metrics may take a while.