Free Access

Fig. 5

thumbnail

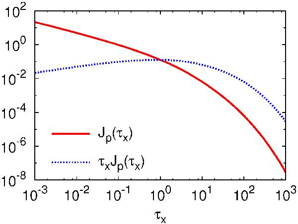
The function Jp(τX) describing the attenuation of the energy deposition rate by a thermal X-ray spectrum versus τX, the X-ray optical depth at the characteristic energy, kTX. Also plotted is the function τXJp(τX) describing the effect of changing kTX (i.e. τX) for a fixed attenuating gas column density (see Eq. (28)).

Current usage metrics show cumulative count of Article Views (full-text article views including HTML views, PDF and ePub downloads, according to the available data) and Abstracts Views on Vision4Press platform.

Data correspond to usage on the plateform after 2015. The current usage metrics is available 48-96 hours after online publication and is updated daily on week days.

Initial download of the metrics may take a while.