Free Access

Fig. 6

thumbnail

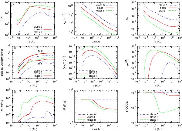
Various variables along a flow line anchored at 1 AU, for the dense MHD disk wind solution and three typical classes of stars: class 0 (M = 0.1 M, acc = 5  ×  10-6   M yr-1; dotted blue curves), class I (M = 0.5 M, acc = 10-6   M yr-1; solid red curves) and active class II (M = 0.5 M, acc = 10-7   M yr-1; dashed green curves). a) The gas temperature T; b) the number density of hydrogen nuclei nH; c) the visual extinction AV to the star, in magnitudes; d) the poloidal components of the bulk flow speed v (smooth top curves) and calculated drift speed vin (lower 3 curves); Note that the Class II and Class I have the same M, hence the same bulk flow speed for r0  =  1 AU; e) the X-ray H2 ionization rate per molecule ; f) the effective radiation field in Draine units χexp − 3AV (attenuation factor appropriate for carbon photoionisation); g) the fractional abundance of ions; h) the fractional abundance of H2 (upper limit in the Class II model, see Sect. 3.1.3); i) the fractional abundance of CO (upper limits in the Class I/II models, see Sect. 3.1.4).

Current usage metrics show cumulative count of Article Views (full-text article views including HTML views, PDF and ePub downloads, according to the available data) and Abstracts Views on Vision4Press platform.

Data correspond to usage on the plateform after 2015. The current usage metrics is available 48-96 hours after online publication and is updated daily on week days.

Initial download of the metrics may take a while.