Free Access

Fig. 2

thumbnail

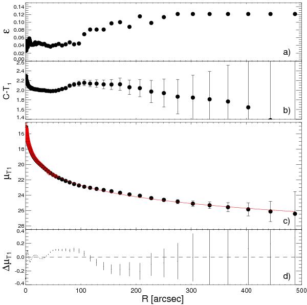
CTIO/MOSAIC surface photometry of NGC 7507. a) Ellipticity profile. b) C − R color profile. c) R surface brightness profile (black circles) and R surface photometry from Franx et al. (1989b) (filled red squares). The solid red line is the fit of a double β model to our data. Residuals can be seen in panel d).

Current usage metrics show cumulative count of Article Views (full-text article views including HTML views, PDF and ePub downloads, according to the available data) and Abstracts Views on Vision4Press platform.

Data correspond to usage on the plateform after 2015. The current usage metrics is available 48-96 hours after online publication and is updated daily on week days.

Initial download of the metrics may take a while.