Free Access

Fig. 1

thumbnail

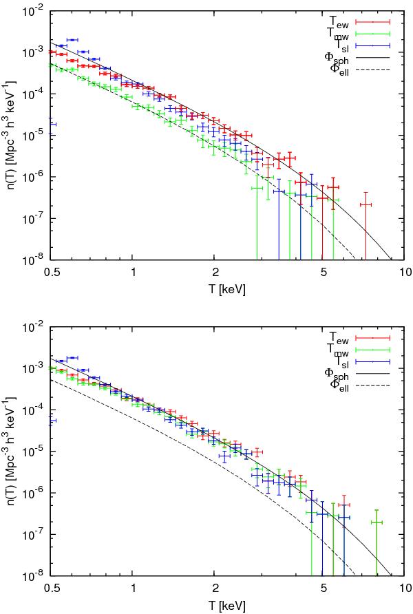
Comparison of the X-ray temperature function inferred from the simulation at z = 0 using different temperature definitions with the theoretically predicted temperature using either the spherical- (Φsph) or the ellipsoidal-collapse model (Φell). Upper panel: temperatures evaluated inside Rvir. Lower panel: temperatures evaluated inside R2500.

This figure is made of several images, please see below:

Current usage metrics show cumulative count of Article Views (full-text article views including HTML views, PDF and ePub downloads, according to the available data) and Abstracts Views on Vision4Press platform.

Data correspond to usage on the plateform after 2015. The current usage metrics is available 48-96 hours after online publication and is updated daily on week days.

Initial download of the metrics may take a while.