Free Access

Fig. 2

thumbnail

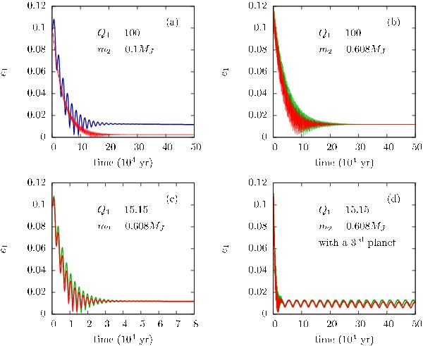
Tidal effects on the eccentricity of HD 209458b with one or two companions. a) The companion is a 0.1   MJ planet at 0.4 AU with e2 = 0.4 as in Mardling (2007). The blue curve was obtained without considering the conservative effect of the tides ( in Eq. (14)). The red curve in a), and all the evolutions presented in the subfigures b)–d) take into account this effect. b) The mass of the companion is set to 0.608   MJ to recover the final excentricity of Mardling’s simulation. The red curve is the result of a numerical integration of the full secular equations that are exact in eccentricity. The green one is the analytical solution of the linearized problem. c) Same as b) except for the initial Q-value of HD 209458b, which is set to 15.15 to enable the visualisation of both the damping and the oscillation of the eccentricity. d) Same as c) with an additional 0.1   MJ companion at 1.0 AU with e3 = 0.1.

Current usage metrics show cumulative count of Article Views (full-text article views including HTML views, PDF and ePub downloads, according to the available data) and Abstracts Views on Vision4Press platform.

Data correspond to usage on the plateform after 2015. The current usage metrics is available 48-96 hours after online publication and is updated daily on week days.

Initial download of the metrics may take a while.