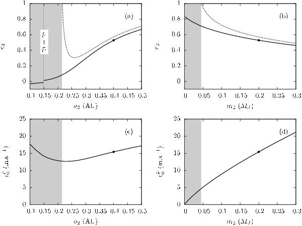
Fig. 3

Eccentricity e2 of the hypothetical companion of HD 209458b with e1 = 0.01 assuming that the eigenmode with the shortest dissipation timescale is damped (black curves in panel a) and b)). a) The mass of the companion is fixed to m2 = 0.2 MJ. Negative values of e2 correspond to Δϖ = 180deg while positive ones mean Δϖ = 0deg. The dotted line is the eccentricity that the companion would have had 5.5 Gyr ago assuming a dissipation factor computed with (29). b) Same as a) for different masses m2 while the semi-major axis is fixed and set to a2 = 0.4 AU. c) Stellar reflex velocity due to the companion at periastron with the eccentricity of a). d) Idem for the eccentricity of b). In grey regions, the eccentricity of the companion should have been larger than 1 in the past. The configuration appearing in all panels with the same orbital parameters is marked by a fill circle.
Current usage metrics show cumulative count of Article Views (full-text article views including HTML views, PDF and ePub downloads, according to the available data) and Abstracts Views on Vision4Press platform.
Data correspond to usage on the plateform after 2015. The current usage metrics is available 48-96 hours after online publication and is updated daily on week days.
Initial download of the metrics may take a while.