Free Access

Fig. 1

thumbnail

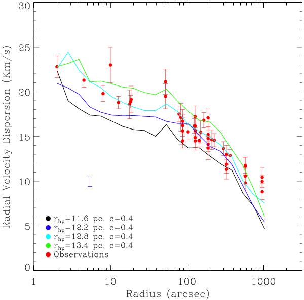
Radial velocity dispersion profiles as a function of radius for models with an IMBH mass of 2% of the stellar mass with the same initial concentration factor. Red points are the observed data taken from different sources (Sect. 2.3). Black, magenta, light blue and green are models with initial half-light radius (rhp) of 11.6, 12.2, 12.8 and 13.4 pc, respectively. A typical uncertainty for models at 5′′ is indicated in blue. Higher initial rhp models end up with a higher velocity dispersion across all radii but with roughly the same overall shape because of their higher total cluster mass as described in Sect. 4.

Current usage metrics show cumulative count of Article Views (full-text article views including HTML views, PDF and ePub downloads, according to the available data) and Abstracts Views on Vision4Press platform.

Data correspond to usage on the plateform after 2015. The current usage metrics is available 48-96 hours after online publication and is updated daily on week days.

Initial download of the metrics may take a while.