Free Access

Fig. 11

thumbnail

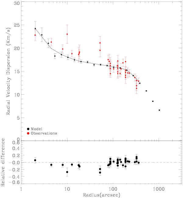
Upper panel: velocity dispersion profile vs. radius in arcsecond. The red points are the observed data points relative to the kinematic center, taken from N10. The velocities for the best-fit model containing an IMBH mass of 2% of stellar mass are shown in black. Lower panel: the relative difference between our model and the observed profile.

Current usage metrics show cumulative count of Article Views (full-text article views including HTML views, PDF and ePub downloads, according to the available data) and Abstracts Views on Vision4Press platform.

Data correspond to usage on the plateform after 2015. The current usage metrics is available 48-96 hours after online publication and is updated daily on week days.

Initial download of the metrics may take a while.