Free Access

Fig. 6

thumbnail

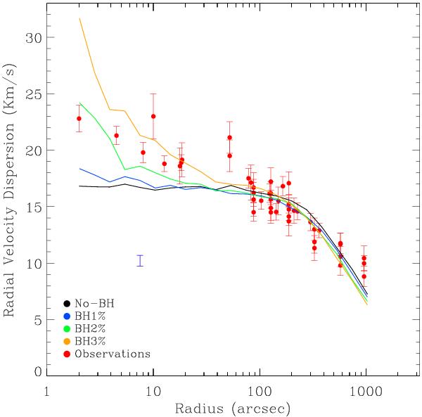
Velocity dispersion profile with different central black hole masses. The red points are the observed dispersion. The black line is the best no-IMBH model which obviously cannot reproduce the data in the inner parts. The blue, green and yellow lines represent models with black hole masses of 1%, 2% and 3% of the cluster total mass. A typical uncertainty at 5′′ is shown in blue on top of models for visual clarity. The green line is the velocity dispersion profile for the best-fit black hole model, containing 2% of the initial cluster stellar mass (Sect. 4.2).

Current usage metrics show cumulative count of Article Views (full-text article views including HTML views, PDF and ePub downloads, according to the available data) and Abstracts Views on Vision4Press platform.

Data correspond to usage on the plateform after 2015. The current usage metrics is available 48-96 hours after online publication and is updated daily on week days.

Initial download of the metrics may take a while.